finn_2002_56L
and
finn_2002

Back to diagnostic sets

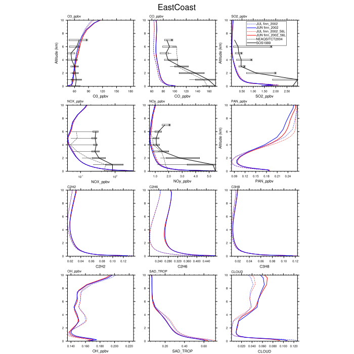
Set 5 Chemistry - Tracer profile comparison with NOAA aircraft campaigns


Region Name Profiles
East Coast plot
West Coast plot
Texas plot
Alaska plot